GCSE Maths | Quadratic Simulataneous Equations
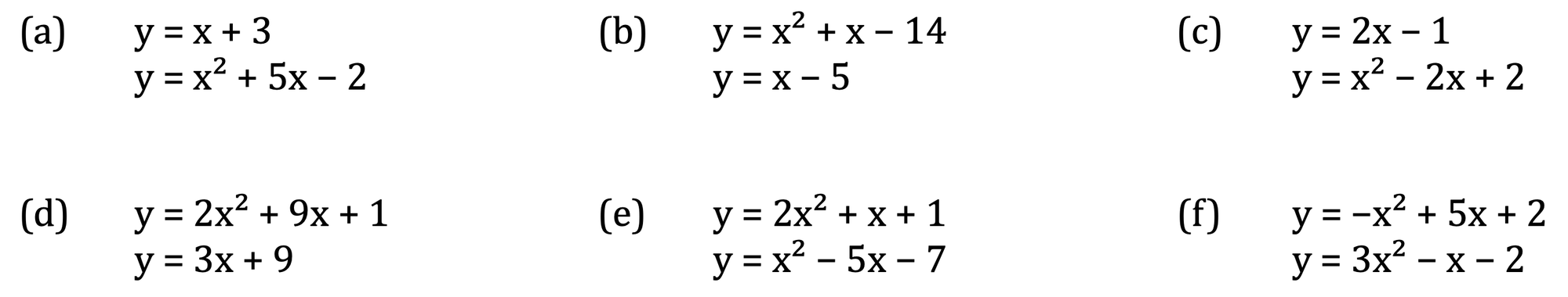
Question 1

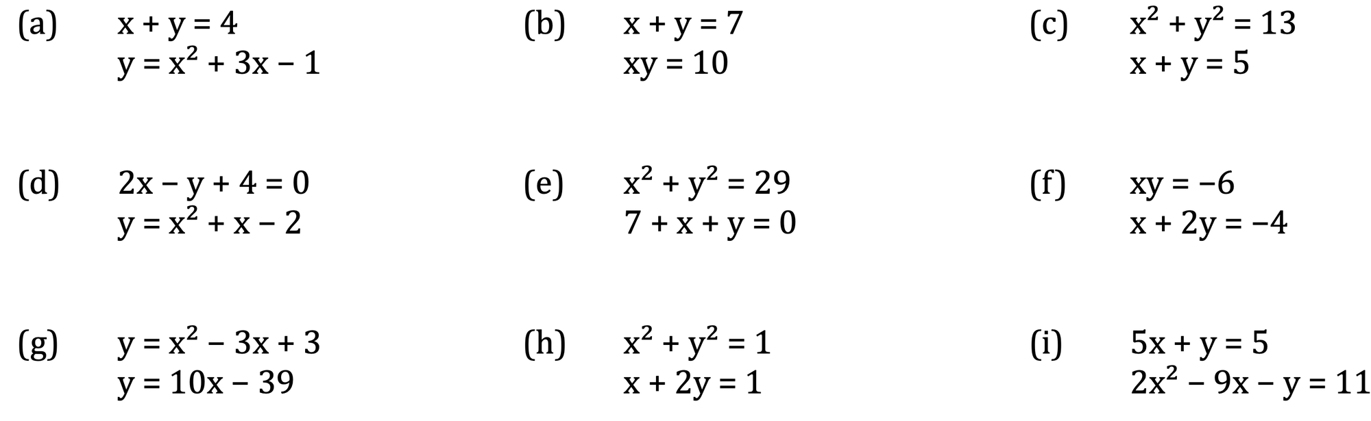
Question 2

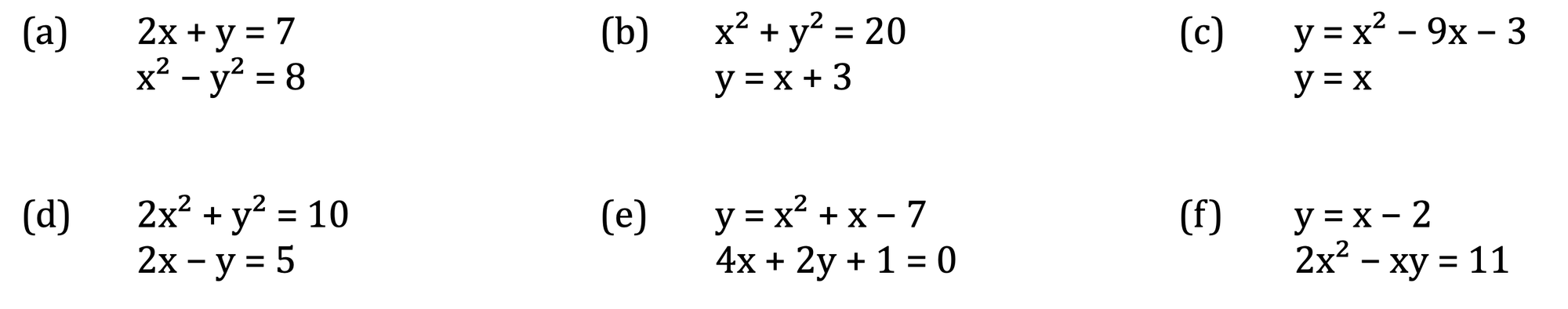
Question 3




A-Level MathsGCSE Maths
Algebra 1. Quadratics | Revision Number 1. Geometry 1. Statistics 1. A-Level Maths Tutoring I offer one-to-one and small group A-Level Maths tutoring for students across the UK and internationally. With 94+ five-star Google reviews and tutoring experience since 2017, I specialise in helping students understand difficult concepts and improve their
Factorising quadratics Question 1 Question 2 Question 3 Question 4 Question 5 Question 6 Solving quadratics by factorising Question 7 Solving quadratics with the quadratic formula Question 8 Completing the square x2 + bx + c = (x+b/2)2 - (b/2)2 + c Question 8 Answers: Question 9
Question 1 Question 2 Question 3 Question 4 Question 5 Question 6