GCSE Maths | Quadratics
Factorising quadratics
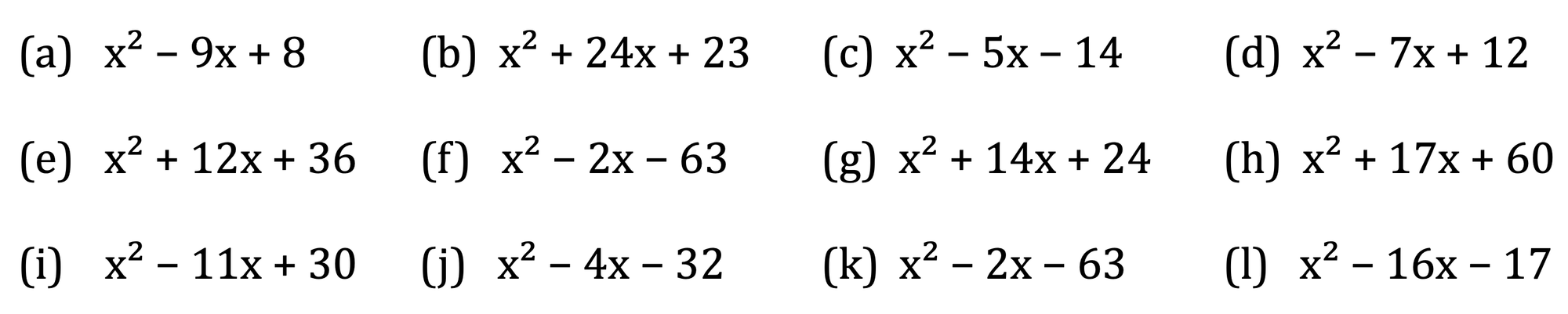
Question 1

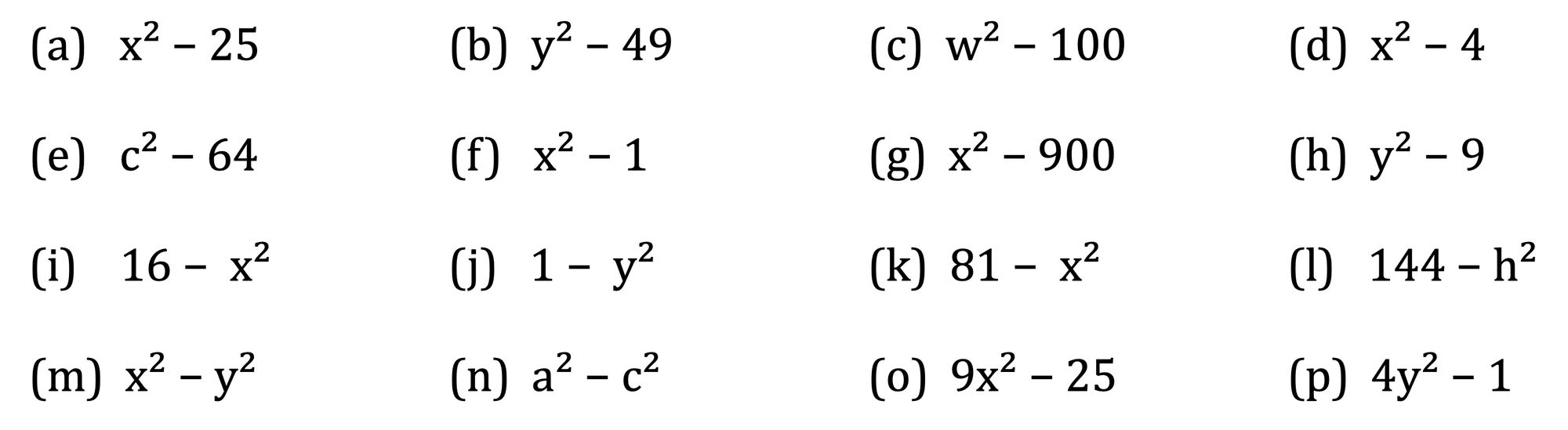
Question 2

Question 3

Question 4

Question 5

Question 6

Solving quadratics by factorising
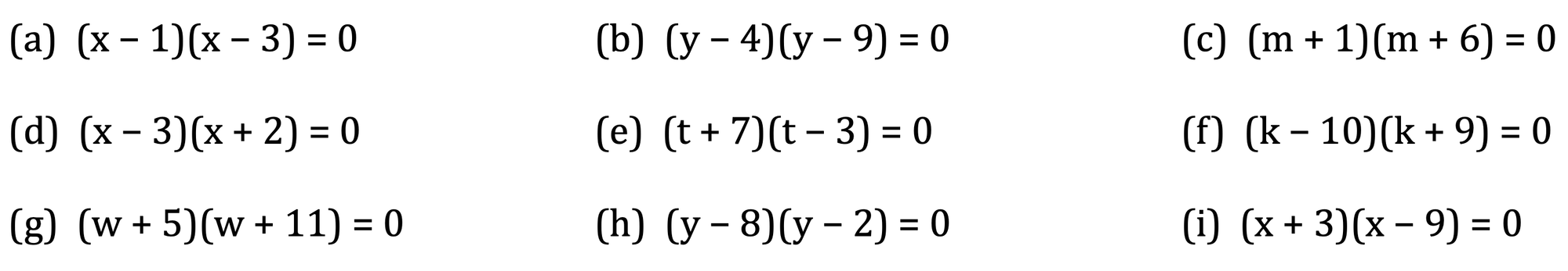
Question 7

Solving quadratics with the quadratic formula
Question 8

Completing the square
x2 + bx + c = (x+b/2)2 - (b/2)2 + c
Question 8

Answers:

Question 9
