Differentiation | Edexcel A-Level Maths
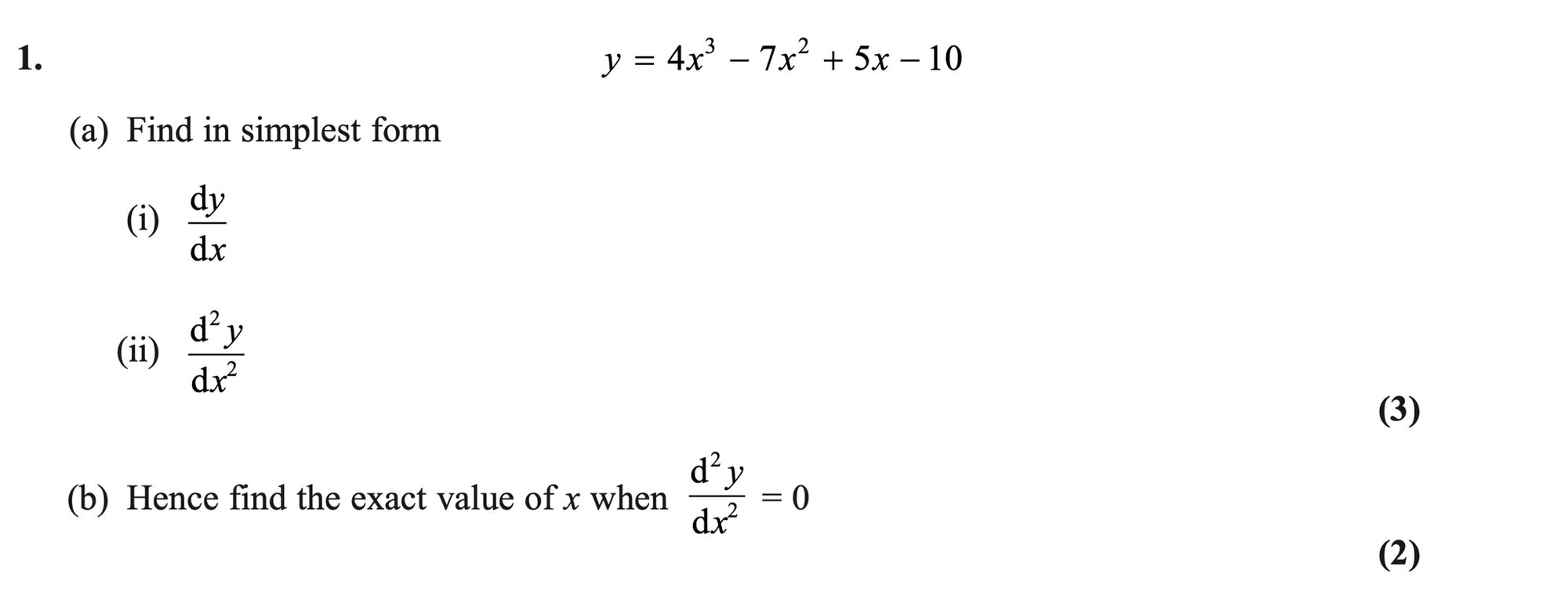
Question 1
Edexcel A-Level Maths Paper 1 June 2018

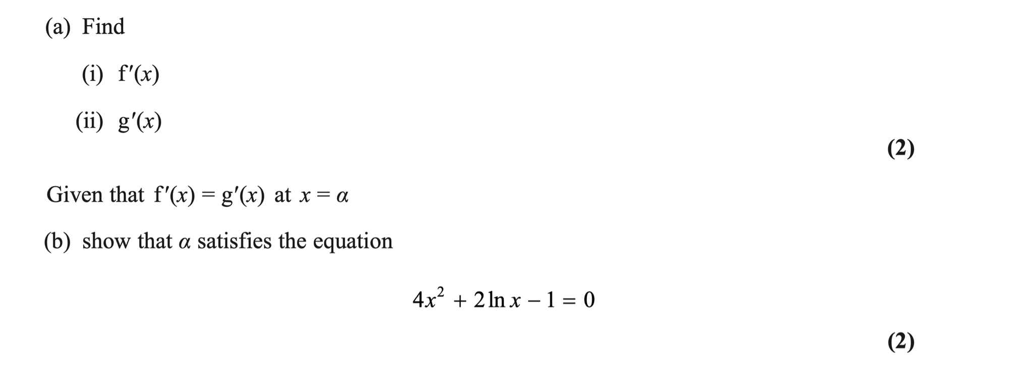
Question 2
Edexcel A-Level Maths Paper 1 June 2018

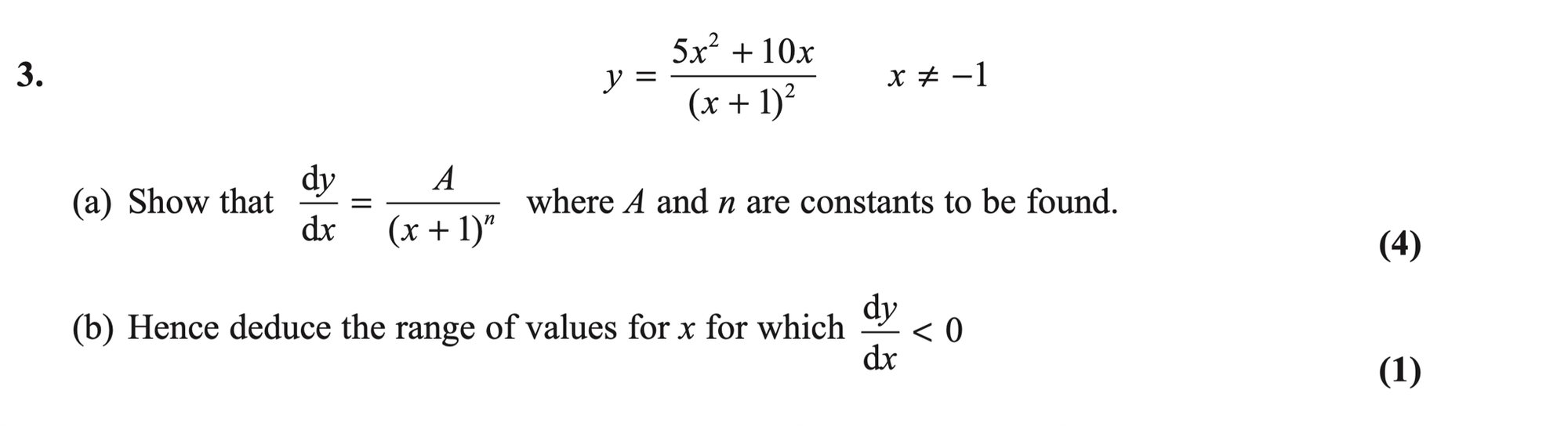
Question 3
Edexcel A-Level Maths Paper 2 June 2018

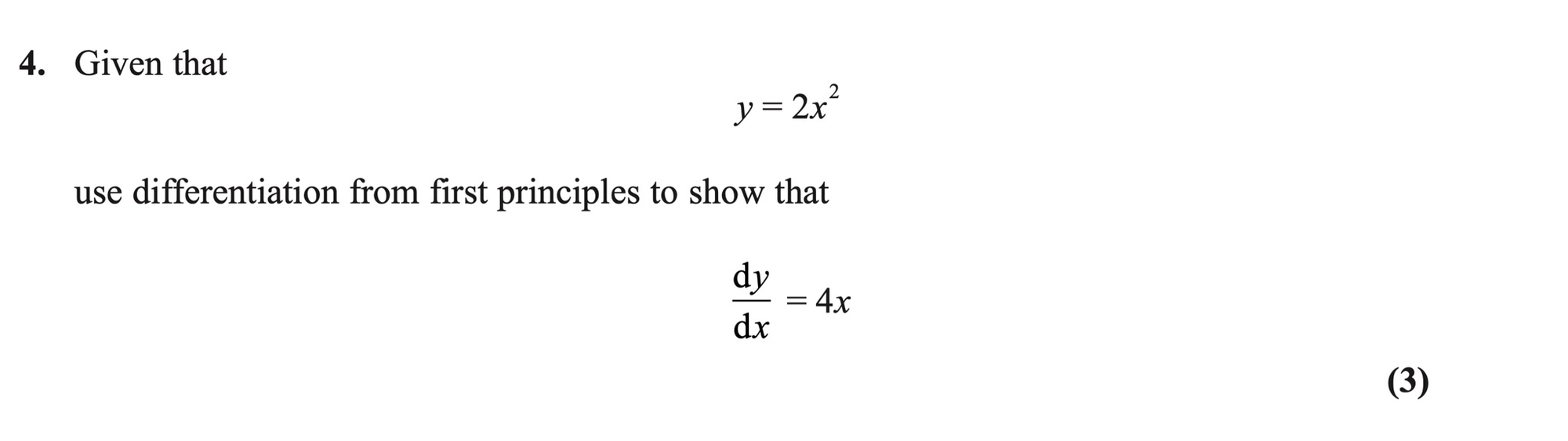
Question 4
Edexcel A-Level Maths Paper 2 June 2018

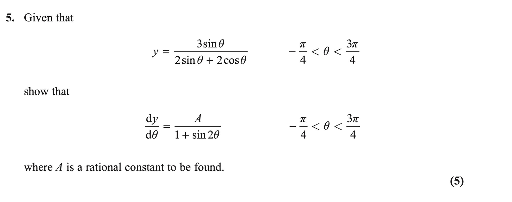
Question 5
Edexcel A-Level Maths Paper 1 June 2019

Question 6
Edexcel A-Level Maths Paper 1 June 2019


Question 7
Edexcel A-Level Maths Paper 1 June 2019

Question 8
Edexcel A-Level Maths Paper 2 June 2019


Question 9
Edexcel A-Level Maths Paper 2 June 2020


Question 10
Edexcel A-Level Maths Paper 2 June 2020

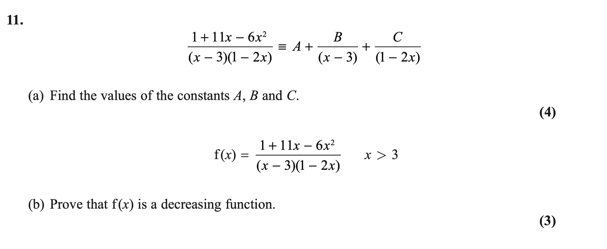
Question 11
Edexcel A-Level Maths Paper 1 June 2021

Question 12
Edexcel A-Level Maths Paper 1 June 2022


Question 13
Edexcel A-Level Maths Paper 1 June 2022


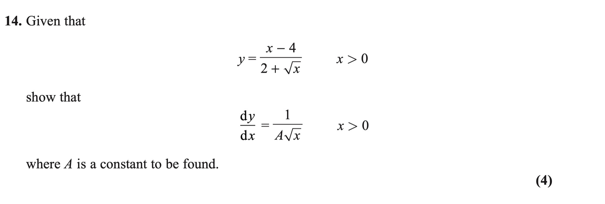
Question 14
Edexcel A-Level Maths Paper 2 June 2022

Question 15
Edexcel A-Level Maths Paper 2 June 2022

Question 16
Edexcel A-Level Maths Paper 1 June 2023

Question 17
Edexcel A-Level Maths Paper 1 June 2023

Question 18
Edexcel A-Level Maths Paper 2 June 2023

Question 19
Edexcel A-Level Maths Paper 1 June 2024

Question 20
Edexcel A-Level Maths Paper 1 June 2024

Question 21
Edexcel A-Level Maths Paper 1 June 2024

Question 22
Edexcel A-Level Maths Paper June 2024

Question 23
Edexcel A-Level Maths Paper 2 June 2024


Question 24
Edexcel A-Level Maths Paper 1 June 2025


Question 25
Edexcel A-Level Maths Paper 1 June 2025
